こんにちは大阪京橋数学塾A4Uの六人部です。
今回は数学に出てくる公式についてのお話です。
公式と呼ばれるものにも色々あります。
色々ありますが、今日お話するのは計算に関する公式についてです。
この手の公式は何なのかというと、この計算は何度も何度も出てくるから結果を暗記しておいてね、という事を意味しています。
つまり小学校で習った九九のようなものなのです。
計算結果を覚える代表的な公式を挙げておきましょう。

こんなんです。
何かもう似てるやつばっかやん!覚えにくいわー!
そう思うよね。無理もありません。
数学の式って無機質だから丸暗記しようとしても覚えにくいんですよね。
ここでポイント!
少し要領よく考えるだけで覚える量を半分にする方法があります!
引き算は足し算で書ける!
中1の最初の頃の授業で足し算を引き算に書き直すとか引き算を足し算に書き直すとか、一見何の意味があるのかちょっと分かりにくい問題をやったことがあるでしょう?
あれは上に挙げたような公式を覚える時にこそ効力を発揮するのです。

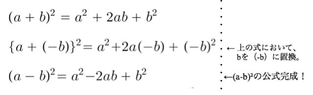
この様に -b を +(-b)と捉える事でマイナスのバージョンの公式はプラスの方の公式から作る事が出来ます。
つまり実際に覚えねばならない公式はプラスのバージョンのみとなり、覚える量は半分で済みます。
また、プラスとマイナスが入れ替わる箇所の理由もよく分かるので丸暗記より圧倒的に強いです。
まぁ、何回も使っていると結局覚えちゃうんですけどね。笑
さらに、公式をド忘れした時にも強いです。
この引き算を足し算で考える方法、是非ともマスターして下さい!
まとめ
今回は丸暗記だけに頼らない公式の暗記についてお話しました。
この考え方は高校数学や物理ではよく使うので、中学生の内から発想として持っておきたいですね。
