こんにちは、大阪京橋数学塾A4Uの六人部です。
さて、中間試験がそろそろ始まりますね。
中学3年生は因数分解が試験範囲になっている学校が多いのではないでしょうか?
そこで、今回は因数分解のコツをお伝えしていきます。
第1のチェックポイント
まずは例を見て下さい!

パターン1、パターン2とも因数分解出来ています。
どちらも正解です!
しかし、動きとしてはパターン2で解いて欲しいのです。
式をみて、文字が数種類ある場合は全ての文字について次数を考ます。
例題ですと、xなら2次、yなら1次、zなら1次です。
次数の低い文字があれば、その文字について整理する!というのが因数分解する上で徹底して欲しい第1のチェックポイント。
よって、例題はyかzの式として整理すると上手く行きやすいのです。
第1チェックは何を置いても真っ先に確認すべき事項です。
これを徹底するだけで、因数分解出来る確率は非常に高くなります。
第2のチェックポイント
さて、次数の確認が終わってその次は?
中学生が因数分解の問題を解く場合、鍵になるのが2次式の因数分解です。
2次式の因数分解をする場合2次の項の係数が1であるかどうかがポイント!
逆に言えば中学生が出来る因数分解は2次の係数が1であるものばかりということ。
よって2次の項の係数に1来ているかどうかをチェックしましょう。
これが第2のチェックポイントです。
ここまで来れば後は分岐を考えるだけ。
係数が1の場合
乗法公式にのっとってサクッと因数分解しちゃって下さい!
1以外の数や文字がある場合
その数や文字で式全体をくくって2次の係数を1にする努力をしましょう。
・くくれるパターン

こんな感じです!
・くくれないパターン
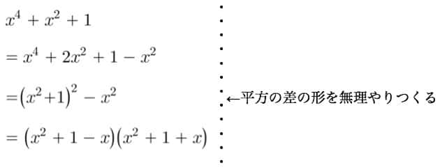
この場合は特徴的な形の因数分解にしかなりません。
括弧の2乗の形 (〜〜〜)²
和と差の積の形 (◯+☆)(○-☆)
のいずれかになります。

こんな感じですね。
イレギュラー
第1チェック→第2チェック→2次の係数で分類
この3段階を意識するだけで中学範囲の95%の問題は対応出来ます!
100%じゃねーのかよ!って?
残念ながらそうなんです・・・

こんな問題です!
このタイプは中学生はそれほど気にしなくても良いタイプの問題です。
中学生がケアすべきは次のタイプです。

パターンaもパターンbもそれぞれ因数分解出来ています。
因数分解するだけの問題ではそこに一意性は存在しないはずなのですが、パターンaの方は中学の定期テストでは減点をくらう可能性が高いです。
因数分解を出来るところまでやり切っていないという理由で。
はい、だからといって「これでも合ってますよね!」と先生に噛み付くのはやめましょう。
テストというのは点取りゲームなのです。
点を取れる形を狙っていかねばならんのですよ!
どちらでも合っているという事を理解しつつ、点を取れる形も理解している!
そんな状態が最高形でしょ?
ですから、テストではパターンbの形まで因数分解するように気を付けて下さい。
この形は括弧の2乗になる因数分解でも狙われるので、やはり特徴的な形の因数分解には注意です。
まぁ、そうは言っても注意するのは95%が完璧になってからで十分だと思いますけどね!
これにて因数分解の試験範囲の準備は万全です。
まとめ
今回は因数分解するときのコツについてのお話でした。
行き当たりばったりで解かないようにすることが重要です。
スポーツでいうところのフォームのチェックみたいなもんです。
後はそれを息をするように出来るまで訓練するだけです。
